Etape 11: Calypso
La onzième étape de son long périple se situe sur l’île d’Ogygie (Malte ? Gibraltar ? Ceuta ? Irlande ? Islande ?)
Odyssée, chant V :
Vous m’enviez, ô dieux, la présence d’un homme alors que ce mortel c’est moi qui l’ai sauvé ! Abandonné de tous, il flottait sur sa quille !
… Quand la houle et le vent sur ces bords le jetèrent, c’est moi qui l’accueillis, le nourris, lui promis de le rendre immortel et jeune à tout jamais.
La magnifique jeune fille qui se tient au côté d’Ulysse se nomme Calypso.
Elle est aussi une magicienne. Si Circé a tenté de transformer le héros de Troie en porc, elle aussi peut transformer Ulysse. Elle peut en faire un homme heureux, mais cela ne peut se faire contre sa volonté. Pour cela, il doit l’épouser.
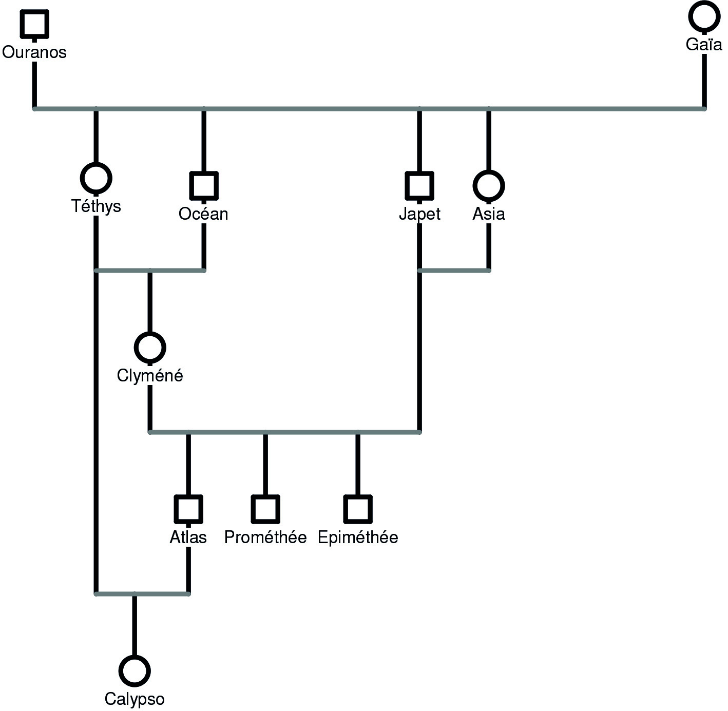
Calypso serait selon Homère la fille du Titan Atlas et peut-être de la sœur d’Océans, Thétis.

L'histoire
Le nom Calypso n’est pas anodin : il vient du verbe grec καλύπτω (kalýptō), qui signifie cacher, voiler, dissimuler.
Elle est donc littéralement « celle qui cache ». Elle ne se contente pas de soustraire Ulysse au regard du monde : elle le dérobe à lui-même, à son destin, à sa mémoire, à son identité.
Le mythe devient ici hautement symbolique : Calypso n’est pas simplement une amante divine — elle est l’incarnation d’un oubli séduisant, celui qui détourne de soi, qui suspend le cours du temps, qui fige le héros dans une illusion de bonheur.
Ulysse refuse cet hymen. Quand il annonce à Calypso qu’il est marié et qu’il aime Pénélope sa femme, Calypso se met à rire. Aucun amour ne résiste au temps. Et elle, elle est la maîtresse du temps.
Et en effet, le temps passe. Il passe si vite qu’un jour Ulysse demande à la jolie nymphe depuis combien de temps ils sont ensemble. Elle lui répond que cela fait sept ans. Sept ans… Le héros demande alors à partir. Calypso n’y consent à aucun prix et Zeus doit envoyer Hermès pour tenter de fléchir la belle.
Un jour donc, elle se rapproche d’Ulysse qui contemple l’horizon avec tristesse :
— N’es-tu donc pas heureux avec moi ? lui demande-t-elle d’une voix douce et aimante.
— Avec toi, si ! Mais je ne fais rien d’autre que me promener avec toi, que t’aimer, boire, manger, dormir. Je n’aurai d’autre activité jusqu’à la fin de mes jours. Et, peu à peu, je vieillis.
— Tu ne m’aimes donc pas ?
— Si je n’étais marié et si ma femme et mon fils ne m’attendaient, je serais le plus heureux des hommes et je ne voudrais vivre avec personne d’autre que toi. Mais…
— Et si je te proposais une dernière chose…
— Laquelle ?
— L’immortalité.
Ulysse frémit. L’immortalité ! Devenir l’égal des dieux ! Puis, il secoue la tête.
— Non, je vieillirais sans cesse et deviendrais en définitive l’ombre de moi-même.
— Je te ferai boire l’ambroisie et tu resteras éternellement jeune.
— Je verrai donc mourir les miens, mon fils, mes amis. Puis, les gens se détourneront de moi, inquiets puis envieux, puis jaloux et enfin agressifs. Je n’aurai que des ennemis. Non, je préfère ma simple condition de mortel.
— Alors mon cher amour, je te laisserai donc partir et te donnerai les moyens de construire un radeau pour rejoindre ton Ithaque.
Qui n’accepterait de vivre ainsi dans l’amour le plus accompli avec une personne aussi belle que délicate, sans jamais avoir le souci du lendemain, comme un roi en son royaume, et qui plus est immortel ? Qui ne serait pas l’être le plus heureux qui soit avec une telle personne qui lui a donné deux fils, Nausithoüs et Nausinoüs ?
Interprétation
Être heureux, est-ce pourtant le bonheur ? Pour Ulysse, celui-ci doit se mériter, voire se conquérir. Il ne saurait le subir. Dans la passivité, l’île la plus accueillante finit par devenir une prison d’où les rêves ne peuvent s’échapper.
Calypso vit aux confins de l’occident, dans une caverne. Une nymphe souveraine, Calypso, le retenait au creux de sa caverne, vers 14 du chant I. Même si l’on donne une acception sexuelle au terme caverne, Ulysse est bel et bien retenu, soustrait au monde.
Là où le soleil se couche pour mourir, l’île est peuplée d’arbres résineux dont le cyprès, symbole funéraire s’il en est, de peupliers qui passent pour avoir été ramenés des Enfers par Héraclès. Certains de ces arbres sont morts, et dans leurs branches vivent des oiseaux carnassiers, chouettes, éperviers, corneilles — aussi sinistres que la végétation.
Si Aea, l’île de Circé, est celle de l’aurore, celle de Calypso, située à l'occident, est celle du crépuscule.
Le tableau se révèle moins idyllique qu’il n’y paraît à première vue.
C’est dans ce décor qu’Ulysse se retire pour pleurer chaque jour, et Homère insiste sur « chaque jour ». La douceur de Calypso dans ce contexte a quelque chose de maléfique, comme un baume posé sur les plaies d’un supplicié.
Et c’est ici qu’un retournement profond se joue. Le nom Calypso, issu de kalýptō, « cacher », s’oppose directement à un autre mot grec de la même famille : apokálypsis (ἀποκάλυψις), qui signifie « dé-voilement », révélation.
Calypso voile, enveloppe, étouffe. Elle retient Ulysse dans un monde sans histoire, sans fin, sans vérité. L’apocalypse, au contraire, est le moment où tout se révèle, où le sens éclôt, où l’homme retrouve sa condition et sa trajectoire.
La sortie d’Ogygie, ordonnée par les dieux, n’est donc pas seulement un départ physique : c’est un geste apocalyptique au sens originel, un dévoilement, un retour à la lumière, à la conscience, à l’action. En quittant Calypso, Ulysse redevient lui-même.
Alors que retenir de cette étape du bonheur ?
Ulysse est-il le plus heureux des hommes comme il le dit, ou le plus malheureux comme on le pressent ?
Ce mythe pose aussi la question du désir et de la réalité.
Chacun désire une femme idéale, douce, aimante, une nymphe, une déesse. Or, la réalité de sa simple condition soumise à celle d’une autre personne, dans une complète dépendance, vide la personnalité de toute substance. Il ne reste plus que la désolation.
Non, pour Ulysse, le bonheur se construit, se gagne.
Le bonheur ne peut épouser la passivité, pas plus que la soumission.
Et Calypso — celle qui cache — nous rappelle à quel point il est facile de s’oublier dans l’illusion d’un monde parfait, et combien il est difficile mais nécessaire de choisir le retour à soi, au réel, à la finitude… et à l’amour vrai.
*
Article précédent : Odyssée, étape 10
Mythologos de Franck Senninger
Milon de Crotone a gagné les Jeux olympiques de lutte dans la catégorie des plus jeunes quand un « inconnu » du nom de Pythagore lui annonce qu’il ne remportera plus jamais de victoires à moins qu’il ne suive ses conseils.
Commence alors, une véritable initiation au travers des plus grands mythes grecs, dont le sens caché lui est peu à peu révélé. Il deviendra alors le plus grand athlète de tous les temps au palmarès inégalé.
Mais le bonheur a un prix…
Ce livre peut aussi vous intéresser : Je m'appelle Aspasie

Ce texte sur Calypso et Ulysse est très intéressant. Jaime bien comment lauteur met en lumière la complexité du bonheur dans lOdyssée. Lidée que le bonheur ne se trouve pas dans la passivité mais dans la quête et laction est profonde. Limage de Calypso comme figure qui cache et qui retient Ulysse est particulièrement forte, et bien expliquée par le lien avec le mot calypso et apokálypsis. Cest une lecture qui fait réfléchir sur le désir, la liberté et ce que真正 signifie être heureux. Jai trouvé lanalyse de la déesse et de la situation dUlysse très juste.Mercury Coder
Merci pour ce beau commentaire !
Merci pour votre commentaire !